Folgen Sie uns
Hier klicken um Ihre sozialen Netzwerke zu konfigurieren

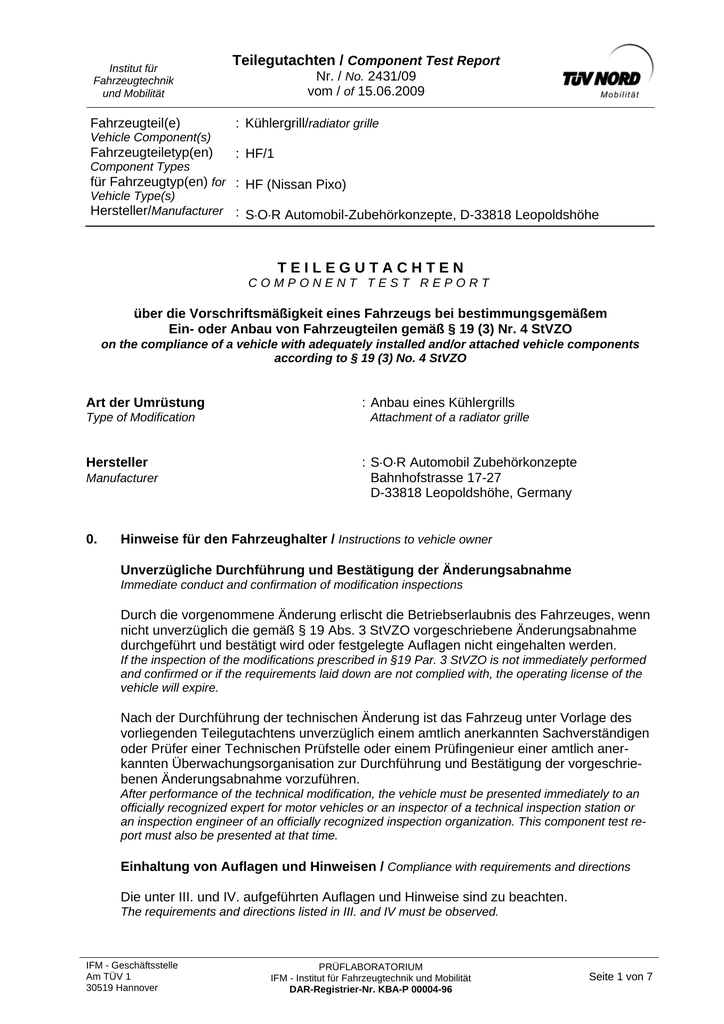
Nissan Pixo Bj. 09-13: COBRA Kühlergrill

https://thor-automotive.de/web/image/product.template/2707/image_1920?unique=6064e19

Nissan Pixo Bj.'09-'13: COBRA Kühlergrill   | Edelstahl | inkl. Montagematerial | mit TÜV-Teilegutachten

63,23 € 63.230000000000004 EUR 63,23 € ohne MwSt. 171,34 €

63,23 € ohne MwSt. 171,34 €

Nur auf Anfrage verfügbar

75,24 € 75.24 EUR inkl. 19% MwSt.


  • Brand
  • MPN
  • Material
  • Produktart
  • OE/OEM Referenznummer

Diese Kombination existiert nicht.

Brand: Cobra
MPN: NIS1293
Material: Edelstahl
Produktart: Kühlergrill
OE/OEM Referenznummer: 999CO01293

zzgl. Versandkosten. Es gelten unsere aktuellen Geschäftsbedingungen
 Versand: 3-5 Werktage. 
Bitte beachten Sie für alle COBRA Produkte die Pflegehinweise für Edelstahl!